Astronomers detect a distant young super-Jupiter exoplanet (Image Credit: Phys.org)

An international team of astronomers has reported the detection of a new super-Jupiter exoplanet as part of the Next Generation Transit Survey (NGTS). The newfound alien world, located some 1,430 light years away, is nearly four times as massive as Jupiter and is estimated to be only millions of years old. The discovery was detailed in a paper published November 13 on the pre-print server arXiv.
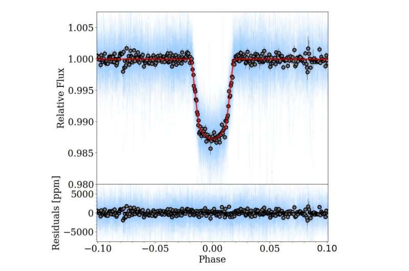
NGTS is a wide-field photometric survey focused mainly on the search for Neptune-sized and smaller exoplanets transiting bright stars. The project uses an array of small, fully robotic telescopes at the Paranal Observatory in Chile, operating at red-optical wavelengths. It uses the transit photometry method to find new exoworlds, which precisely measures the dimming of a star to detect the presence of a planet crossing in front of it.
Now, a group of astronomers led by Douglas R. Alves has found another extrasolar world with NGTS photometry. The new planet was identified around NGTS-33—a fast-rotating massive hot star.
“Here, we report the detection of NGTS-33b, the first NGTS discovery of a super-Jupiter hosted by a massive star,” the researchers wrote in the paper.
The observations found that NGTS-33b has a radius of about 1.64 Jupiter radii and its mass is approximately 3.63 Jupiter masses, which yields a density at a level of 0.19 g/cm3. The planet orbits its hosts every 2.82 days, at a distance of 0.048 AU from it, and its equilibrium temperature is estimated to be 1,991 K.
The astronomers underlined that the low density of NGTS-33b is 13% smaller than expected when compared to transiting hot Jupiters with similar masses. Moreover, planetary structure models show that the radius of this planet is likely inflated by up to 15%.
When it comes to the host star NGTS-33, it has a spectral type A9V, a radius of about 1.47 solar radii and is some 60% more massive than the sun. The star has a rotational period of 0.66 days and its effective temperature is 7,437 K. The age of NGTS-33 is estimated to be between 10 and 50 million years.
The researchers noted how unique is the finding of such a planet like NGTS-33 as only 11 massive super-Jupiter exoplanets orbiting hot stars have been detected so far.
“The discovery of NGTS-33b will significantly add to the small but increasing population of massive THJs [transiting hot-Jupiters], which will help place further constraints on current formation and evolution models for such planetary systems,” the authors of the paper concluded.
More information:
Douglas R. Alves et al, NGTS-33b: A Young Super-Jupiter Hosted by a Fast Rotating Massive Hot Star, arXiv (2024). DOI: 10.48550/arxiv.2411.08960
Journal information:
arXiv
© 2024 Science X Network
Astronomers detect a distant young super-Jupiter exoplanet (2024, November 21)
retrieved 21 November 2024
from https://phys.org/news/2024-11-astronomers-distant-young-super-jupiter.html
part may be reproduced without the written permission. The content is provided for information purposes only.

